Contoh Ulasan Analisis Pencapaian

Contoh Format Analisis Ulangan Harian Siswa Antapedia Com

5 Cara Menentukan Target Kerja Dengan Metode Smart

Contoh Review Jurnal Berbagai Latar Bidang Update 2021

Analisis Lingkungan Internal Dan Eksternal Dalam Pencapaian Tujuan Perusahaan Studi Kasus Di Pt Perkebunan Nusantara Vii Lampung Sosiologi Jurnal Ilmiah Kajian Ilmu Sosial Dan Budaya
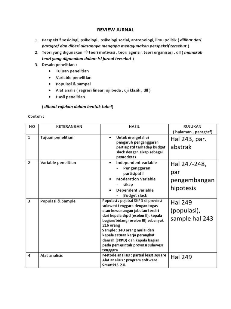
Review Jurnal Bahan Uts Pdf

Jual Buku Aplikasi Statistika Dalam Penelitian By Dr Supardi Edisi Revisi Jakarta Barat Cakrabirawanatsir Tokopedia

May 2019 Ppm News Berita Ppm News About Malaysian Libraries And Librarians Page 2

Skt Contoh Ulasan Pyd Yang Terbaik 1 Contoh Skt Pengetua Doc Document Buku Ini Menjelaskan Setiap Topik Dengan Detail Hanch Kee
Kebijakankesehatanindonesia Net

Contoh Teks Ulasan Pengertian Ciri Tujuan Dan Struktur Analisis Www Indonesiana Id

Manajemen Kinerja Pengertian Proses Contoh Konsep Pentinnya
0 Response to "Contoh Ulasan Analisis Pencapaian"
Post a Comment