Rancangan Tahunan Program Guru Penyayang
Penyerahan Mentor Mentee 2020 Unit Kaunseling Sk Pokok Sena Facebook

Victorious Modules Modul Dan Panduan Program Penyayang Dan Mentor Mentee Sekolah 2016 Baru

Carta Organisasi Guru Penyayang Sjk T Mukim Pundut Lumut

![]()
Doc Ahli Jawatankuasa Program Guru Penyayang Sk Bandar Mas 2018 Acay Zugan Academia Edu
Carta Gant Rancangan Tahunan Kokurikulum 2020 Sekolah Kebangsaan Bandar Bukit Mahkota
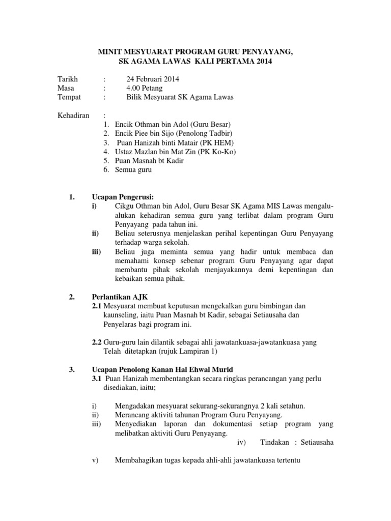
Minit Mesyuarat Guru Penyayang 1 Pdf

Calameo Rancangan Tahunan 2014 Doc
![]()
Kertas Kerja Sambutan Hari Lahir 2020

Pesps498 Prosains Program Guru Penyayang Tanpa Pemasangan
![]()
Rancangan Tahunan Ubk Flip Ebook Pages 1 12 Anyflip Anyflip

Blog Cikgu Zahidi Sekolah Saya Guru Penyayang
0 Response to "Rancangan Tahunan Program Guru Penyayang"
Post a Comment