Jawapan Latihan Isometrik Cikgu Eddy

F2 Bab 11 Transfomasi Isometri Jom Cuba 11 4 Ms 229
Didiktv Sinopsis Mahir Nathan 2 Pdf

Fizik Tingkatan 4 Bab 1 Latihan Dan Jawapan Adinasinc

Latihan Isometri

Latihan Isometri
Contoh Gambar Isometri
Pjpk Penggal 1 T4 Pdf
Sabtu Bina Ayat Akar Education Books Tuition And More Facebook
Ujian Akhir Tahun Pjk Tingkatan 2 Set1 Pdf

Nota Lukisan Kejuruteraan

Nota Lukisan Kejuruteraan
0 Response to "Jawapan Latihan Isometrik Cikgu Eddy"
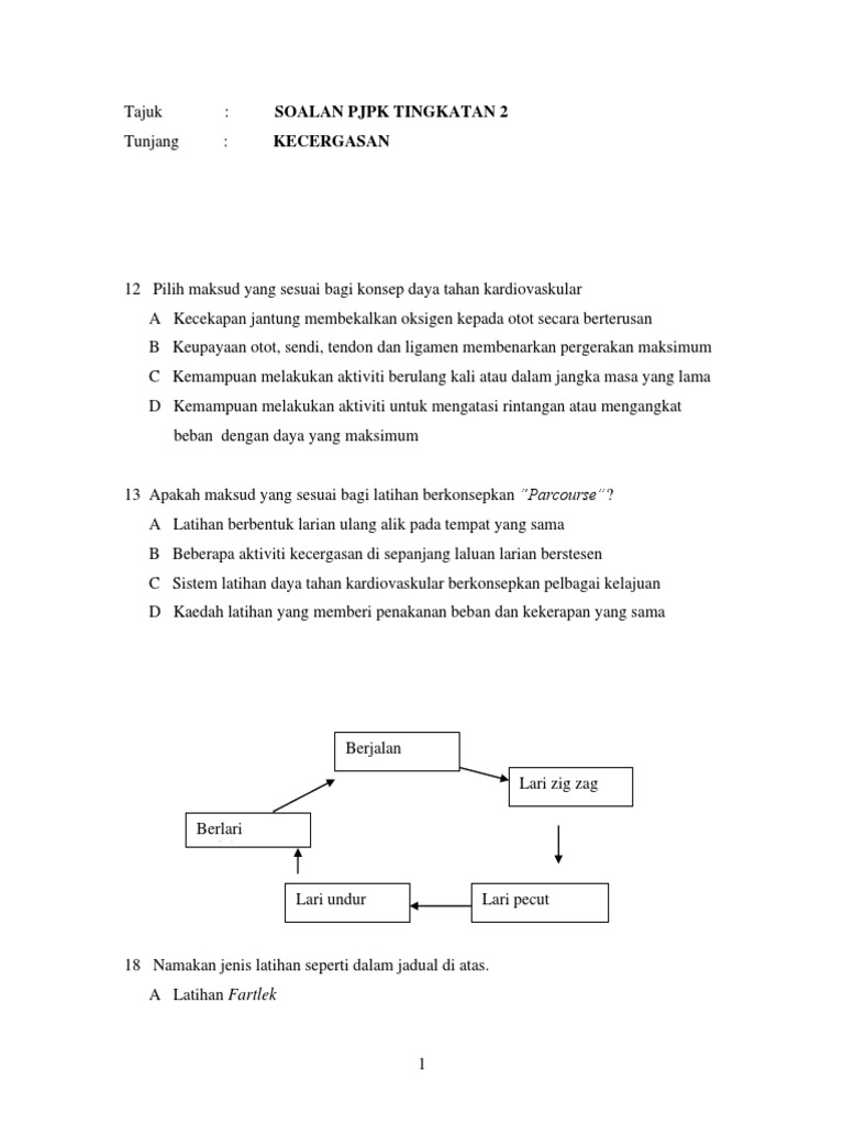
Post a Comment